Vom Jahr 2000 bis zum Jahr 2015 hat sich die weltweite Zahl der versendeten Mail ohne Spam von 32 Mrd. auf 537 Mrd. fast versiebzehntfacht (Quelle: Statista). Deshalb sprechen wir inzwischen auch von einer E-Mail-Flut.
Die Folgen sind dramatisch: permanente Störungen, schwindende Konzentration und das Gefühl der permanenten Überlastung machen vielen Menschen zu schaffen. Ist der Einzelne dieser modernen Plage hilflos ausgeliefert oder kann er etwas gegen diese Plage unternehmen? Um diese Frage zu beantworten, müssen wir zunächst die wesentlichen Ursachen der E-Mail-Flut verstehen.

Inhaltsverzeichnis
Das falsche Werkzeug
Ihrem Wesen nach ist die E-Mail elektronische Post. Das heißt, es handelt sich um Briefe. Dieser werden eben nicht mehr papiergebunden sondern elektronisch versendet. Briefe sind Informationen, die von einem Absender an einen Empfänger geschickt werden.
Aber was sind die Gründe dafür, dass ausgerechnet die digitale Variante des Briefes so zugenommen hat. Hierfür gibt es in der Tat nur genau eine Ursache:
Statt zur beschleunigten Versendung von Informationen von einem Absender zu einem Empfänger benutzen wir die E-Mail heute dazu, Zusammenarbeit zu organisieren.
Um es einfach zu formulieren: wir benutzen das ein eigentlich gutes Werkzeug für einen falschen Zweck. Stellen Sie sich vor, sie wollen eine Schraube festziehen, haben aber nur ein Taschenmesser. Nun versuchen Sie, mit der kleinen Klinge die Schraube fest zu ziehen. Sie werden nicht besonders erfolgreich sein. Klar, die Schraube wird etwas fester sein als vorher. Wahrscheinlich haben Sie jedoch die Klinge verbogen.
Und genauso verhält es sich mit der E-Mail. Man kann zwar damit die Zusammenarbeit von Gruppen von Menschen organisieren – es funktioniert nur nicht besonders gut.
Warum die E-Mail das falsche Werkzeug für Teamarbeit ist
Um gut zusammen zu arbeiten müssen alle Team-Mitglieder über denselben Informationsstand verfügen. Versuchen wir dies mit E-Mail zu erreichen, schicken wir Mail mit angehängten Dateien an alle Teammitglieder. Da Mail eine Punkt-zu-Punkt Verbindung ist, schicken wir also viele Mails an einen großen Verteilerkreis. Wir vervielfachen die Information und die Anzahl der Dateien. Alles landet bei den Empfängern in einem Postfach zusammen mit einer Vielzahl vergleichbarer Mails anderer Absender.
Das Ergebnis ist ein unstrukturierter Haufen von Informationen. Jedes Teammitglied hat mit seinem Postfach nun eine Informationssilo, dass nicht mit den Informationssilos der Anderen synchronisiert ist.
E-Mail basierte Organisation ignoriert das Thema Aufgaben
Übrigens fehlt eine wichtige Komponente: die Aufgaben. Aufgaben haben keinen Platz in einer E-Mail-zentrierten Welt. Jeder, der Aufgaben zu erledigen hat, organisiert seine Aufgaben auf eine höchst eigene Art und Weise. Um zu erfahren, welche Aufgaben schon erledigt oder noch offen sind, kann man natürlich E-Mails schreiben. Ein Teufelskreis.
Warum führt das falsche Werkzeug zu dieser Flut an E-Mails?
In unserer arbeitsteiligen und vernetzten Welt führt die Nutzung von E-Mail zur Teamorganisation unweigerlich ins Chaos. Der tiefere Grund liegt in der wachsenden Teamgröße.
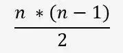
In einem Team von zwei Personen gibt es genau eine Kommunikationslinie. Bei drei Personen sind es schon zwei Verbindungen. Die Formel, die die Anzahl der Verbindungen beschreibt, lautet:

Wobei n die Anzahl der Team-Mitglieder ist. Hierbei handelt es sich um eine quadratische Funktion. Der Graph dieser Funktion ist nahezu identisch mit der Grafik, die die Entwicklung der E-Mails vom Jahr 2000 bis zum Jahr 2015 beschreibt.
Zwischenfazit: Organisation per Mail führt zu Überlastung
Halten wir fest: die Punkt-zu-Punkt Kommunikation per E-Mail in der größer werdenden Gruppe führt unweigerlich zu einer enorm steigenden Anzahl von Mails. Es besteht keine Transparenz, die die Datensilos dies verhindern. Zusätzliche Abstimmungen per Mail oder Telefon vergrößern das Problem.
Vorgangsorientiertes Arbeiten mit einem geeigneten Collaboration-Werkzeug
Die Lösung des Aufgabe ist sehr einfach. Benötigt wird eine Werkzeug, dass alle Information zu einem Vorgang zentral sammelt und diese Informationen allen Teammitgliedern zur Verfügung stellt. Untenstehende Grafik zeigt dies schematisch:
Auf diese Weise wird jede Information, Datei oder Aufgabe genau einmal gespeichert. Alle Teammitglieder sind perfekt informiert. Sie arbeiten konzentriert und zielgerichtet. Die Produktivität steigt enorm. Anwender, die unsere Collaboration-Plattform humbee nutzen, sparen so eine Stunde Zeit pro Tag.
Und die E-Mail-Flut? Sie ebbt im wahrsten Sinne des Wortes ab.



